|
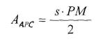
 Ages ist die Fläche des gleichseitigen Dreiecks ABC mit der Seitenlänge s.
Verbindet man P mit den Ecken des Dreiecks ( siehe Skizze ! ), so entstehen drei Teildreiecke mit folgenden Flächen:

Die Flächensumme der Teildreiecke ist identisch mit der Fläche des Dreiecks ABC. Somit gilt:

Daraus folgt:

D.h.: Die Abstandssumme ist - unabhängig von der Position des Flughafengebäudes - eine Konstante !!
|